الدائرة المكافئة لخلية اللوح الشمسي
يمكن اعتبار الخلية الكهروضوئية مولد تيار ويمكن تمثيلها بدائرة مكافئة:

يمكن اعتبار الخلية الكهروضوئية مولد تيار ويمكن تمثيلها بدائرة مكافئة:

التيار I عند الأطراف الخارجة يساوي التيار المتولد من خلال التأثير الكهروضوئي IL بواسطة مولد التيار المثالي. يتناقص هذا التيار بواسطة تيار الصمام الثنائي ID “Diode” وبواسطة تيار التسرب المفقود بسبب مقاومة التحويلة Ish: ينتج تيار التسرب عن التيار من خلال العيوب في الوصلة أو بسبب التحويلات عند حواف الخلايا الشمسية (Rsh يمثل مقاومة التحويلة).
تمثل سلسلة المقاومة Rs المقاومة الداخلية لتدفق التيار المتولد وتعتمد على سمك الوصلة P-N، وعلى الشوائب الموجودة وعلى مقاومات التلامس. في الخلية المثالية، سيكون لدينا Rs= 0 و Rsh= .
على العكس من ذلك، في خلية السيليكون عالية الجودة يكون لدينا Rs= 0.05 ÷ 0.10 Ω و Rsh = 300 ÷ 400 kΩ
تتأثر كفاءة التحويل للخلية الكهروضوئية بشكل كبير أيضًا بتغير بسيط في Rs، في حين أنها أقل تأثرًا بتغير Rsh.
تتم صياغة المعادلة الحاكمة للدائرة المكافئة باستخدام قانون كيرشوف الحالي للتيار I:
I = IL – ID – Ish
حيث:
IL: التيار المولّد للضوء في الخلية.
ID: التيار المعتمد على الجهد المفقود بسبب إعادة التركيب.
Ish: التيار المفقود بسبب المقاومة التحويلية.
في الدائرة المكافئة مع نموذج الصمام الثنائي المفرد، يتم نمذجة ID باستخدام معادلة شوكلي “Shockley” للديود المثالي.

حيث:
n: عامل مثالية الصمام الثنائي (بدون وحدة، وعادةً ما يتراوح بين 1 و2 لخلية الوصلة الواحدة)
I₀: تيار التشبّع
VT: الجهد الحراري المعطى بواسطة:

حيث:
K: ثابت بولتزمان “Boltzmann” 1.381×10-23 J/K
Tc: درجة الحرارة بمقياس كلفن “Kelvin” .
q: شحنة الالكترون الواحدة 1.06×10-19C
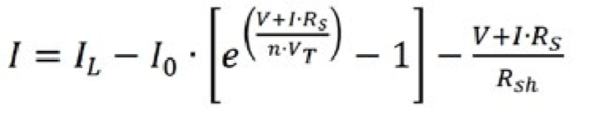
بعد ذلك، يُعطى التيار المزود للحمل بالمعادلة:

في الخلايا المعتادة، يكون الحد الأخير من هذه الصيغة، أي تيار التسرب إلى الأرض Ish، مهملاً بالنسبة للتيارين الآخرين. ولذلك، يمكن تحديد تيار التشبع للدايود تجريبيًا عن طريق تطبيق جهد الدائرة المفتوحة على خلية غير مضيئة وقياس التيار المتدفق داخل الخلية.



